• Предмет: Алгебра
  • Автор: MenPelmen
  • Вопрос задан 2 года назад

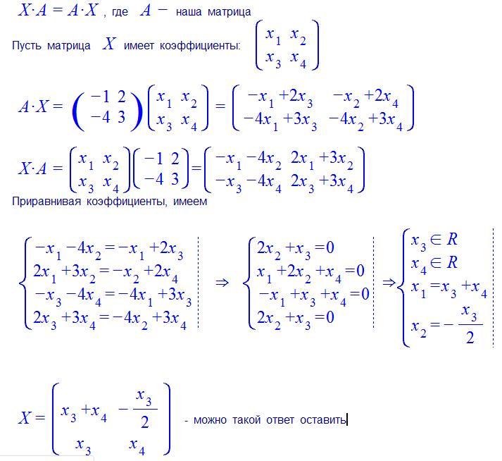
Найти все перестановочные матрицы для матрицы \left[\begin{array}{ccc}-1&2\\-4&3\end{array}\right]


Mihail001192: Начал проходить матрицы ? это ещё простое, дальше начнётся фарш :)
MenPelmen: ;-(

Ответы

Ответ дал: Аноним
13

Ответ:......

Объяснение:

Приложения:
Вас заинтересует