• Предмет: Информатика
  • Автор: Аноним
  • Вопрос задан 2 года назад

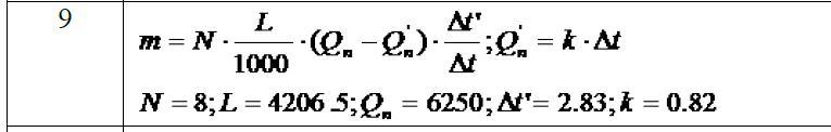
Написать консольную программу на C # для вычисления выражения. Код поместить в пространство имен, который
назвать своим именем. Не указаны значения переменных в выражениях принять
произвольно.

Приложения:

Ответы

Ответ дал: KnowsUser1
1

Ответ:

using System;

using System.Collections.Generic;

using System.Linq;

using System.Text;

using System.Threading.Tasks;

namespace Global

{

   class Program

   {

       public double N = 8.0;

       public double L = 4206.5;

       public double Q_n = 6250.0;

       public double delta_t_mark = 2.83;

       public double k = 0.82;

       static void Main(string[] argv)

       {

           Program Obj = new Program();

           Obj.Calculate();

       }

       public void Calculate()

       {

           string delta_T_in = Console.ReadLine();

           double delta_T = Convert.ToDouble(delta_T_in);

           double Q_n_mark = Calc_Q_n_mark(delta_T);

           double m = N * (L / 1000) * (Q_n - Q_n_mark) * (delta_t_mark / delta_T);

           Console.WriteLine(m);

           Console.ReadKey();

       }

       public double Calc_Q_n_mark(double delta_T)

       {

           double Q_n_mark = this.k * delta_T;

           return Q_n_mark;

       }

   }

}

Объяснение:

Вас заинтересует