• Предмет: Математика
  • Автор: egfdgdtgurytfdg
  • Вопрос задан 2 года назад

решите
----------------------------

Приложения:

Ответы

Ответ дал: Аноним
1

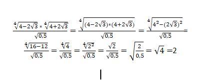
Ответ 2. Решение задания приложено

Приложения:
Ответ дал: малика2002мика
0

Ответ:

2

Пошаговое объяснение

на фото

Приложения:
Вас заинтересует