Ответы
Ответ дал:
0
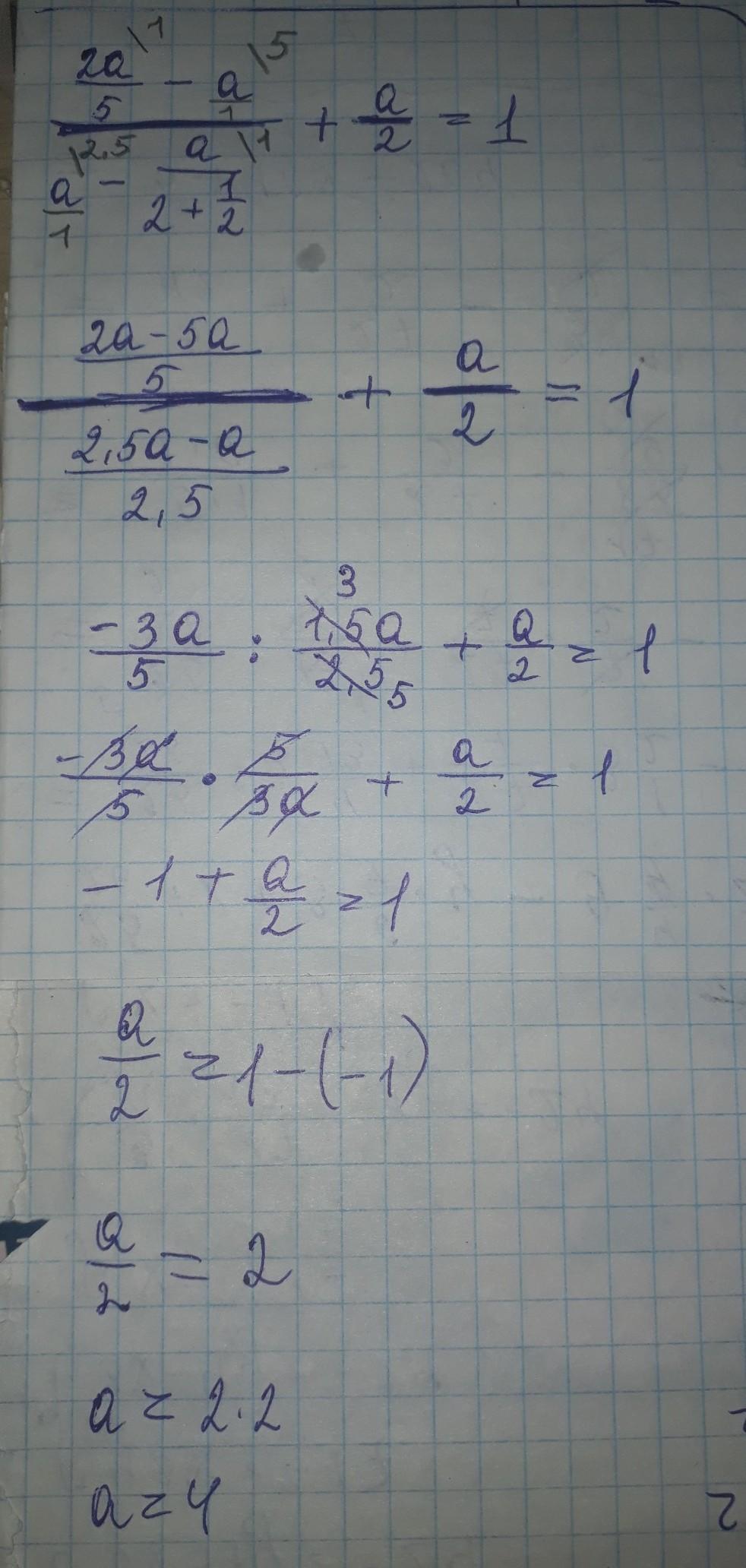
Ответ : а=4.........
Приложения:

Аноним:
это правильно
Вас заинтересует
1 год назад
1 год назад
2 года назад
2 года назад
3 года назад