помагите пожалуста в 1 задании нужно умножить во 2 задании найти произведение многочленов
Приложения:
Ответы
Ответ дал:
0
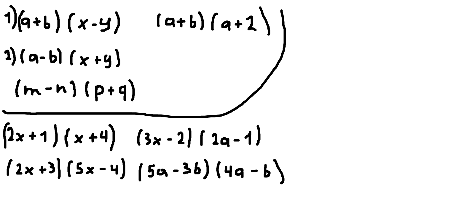
ax-ay+bx-by
ax+ay-bx-by
mp-np+mq-nq
a^2+2a+ab+2b
2x^2+8x+x+4=2x^2+9x+4
10x^2-8x+15x-12=10x^2+7x-12
6ax-3x-4a+2
20a^2-5ab-12ab+3b^2=20a^2-17ab+3b^2
ax+ay-bx-by
mp-np+mq-nq
a^2+2a+ab+2b
2x^2+8x+x+4=2x^2+9x+4
10x^2-8x+15x-12=10x^2+7x-12
6ax-3x-4a+2
20a^2-5ab-12ab+3b^2=20a^2-17ab+3b^2
Вас заинтересует
3 года назад
8 лет назад
8 лет назад
11 лет назад
11 лет назад
11 лет назад