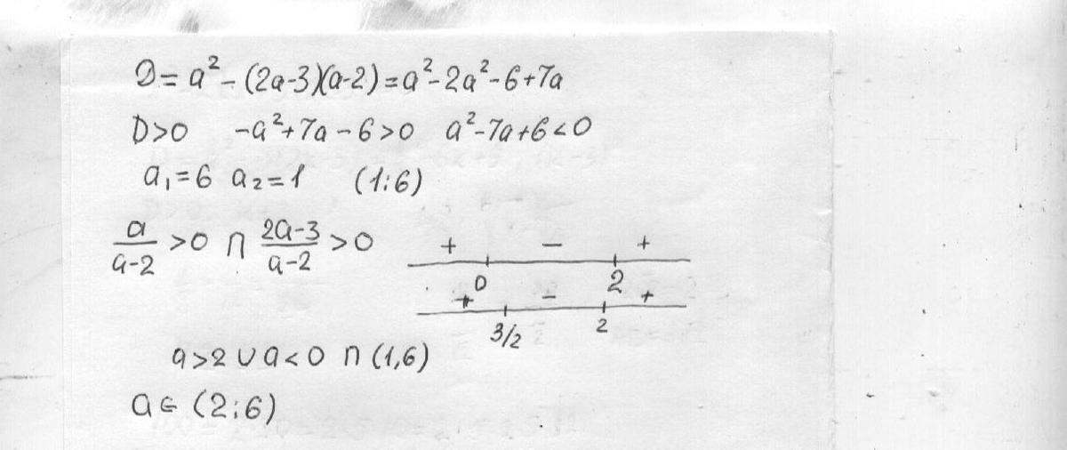
Найдите значения параметра a, при каждом из которых уравнение
(а-2)х^2-2ах+2а-3=0
имеет два различных положительных корня!
Плиз помогите!! Поподробнее
Ответы
Ответ дал:
0
Решение:
Смотри вложение:.....
Смотри вложение:.....
Приложения:

Ответ дал:
0
добавил ответ......................................
Приложения:

Вас заинтересует
2 года назад
2 года назад
8 лет назад
8 лет назад
10 лет назад
10 лет назад