• Предмет: Алгебра
  • Автор: РиТа456
  • Вопрос задан 2 года назад

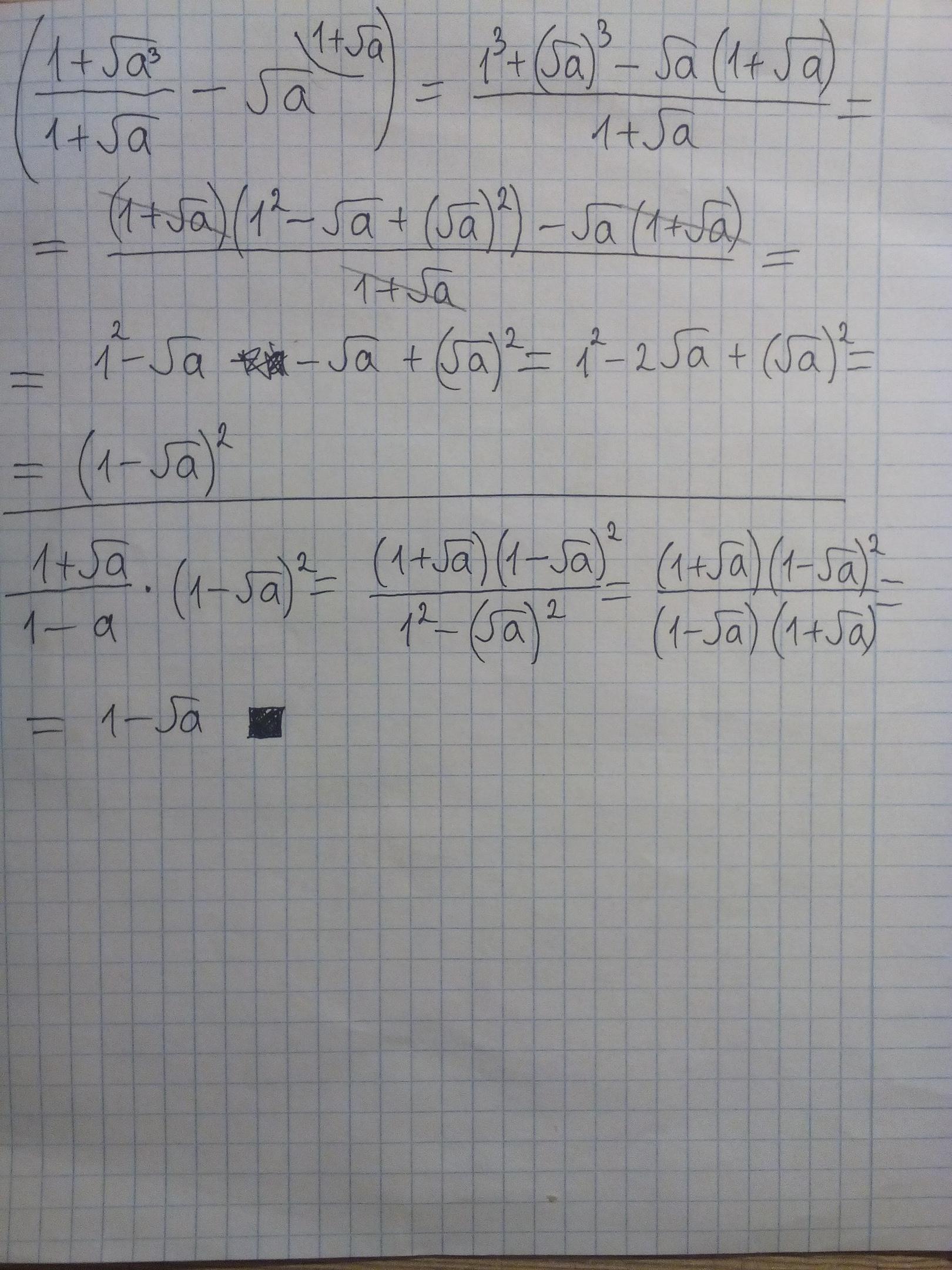
Докажите дождество
36 (Б)

Приложения:

Ответы

Ответ дал: PandadnaP
1

Ответ:

Покажем, что левая часть после преобразований станет равной правой части.

Объяснение:

Сначала преобразуем выражение в скобках, а потом подставим полученное значение в левую часть.

Приложения:
Вас заинтересует