Помогите пожалуйста решить уравнения. Даю 50 баллов.
Приложения:

lidiasaraa3:
а уравнения где?
Ответы
Ответ дал:
1
Ответ:
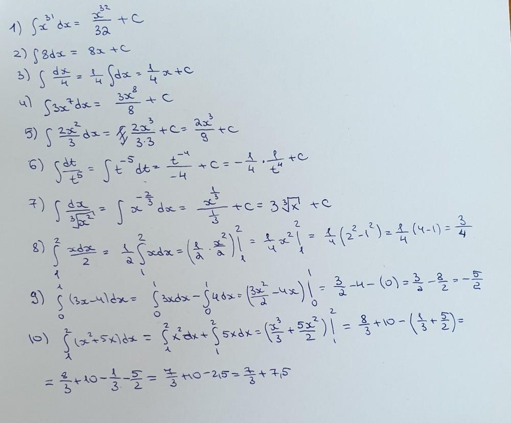
решение на фотографии
Приложения:

Вас заинтересует
1 год назад
2 года назад
2 года назад
3 года назад
3 года назад
8 лет назад