• Предмет: Алгебра
  • Автор: DanIIL11498
  • Вопрос задан 2 года назад

решите пж ДАЮ 20 БАЛЛОВ

Приложения:

Ответы

Ответ дал: Аноним
1

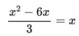
Приведем к общему знаменателю. Получим х²-6х-3х=0

х²-9х=0,  х*(х-9)=0, откуда х=9; х=0

Ответ дал: aniabondar
1

\frac{x^2-6x}{3} = x\\x^2-6x = 3x\\x^2-6x-3x=0\\x^2-9x=0\\x(x-9)=0\\x=0 \\or \\x-9=0\\x=9

Ответ: 0 и 9

Вас заинтересует