• Предмет: Алгебра
  • Автор: ZAM160
  • Вопрос задан 2 года назад

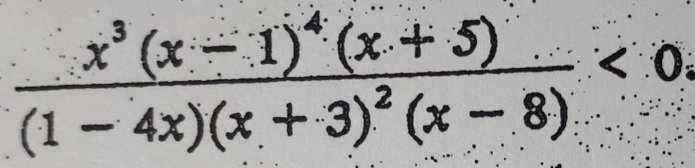
Не решайте неравенство, а обьясните как поступить с иксом в кубе.​

Приложения:

Universalka: Так и оставить

Ответы

Ответ дал: kirichekov
1

Объяснение:

почему вопрос только к "иксу в кубе"?

почему не возникает вопрос к " (х-1) в четвертой?

МЕТОД ИНТЕРВАЛОВ:

1. найти корень каждого множителя:

 {x}^{3} = 0 \\ x \times x \times x = 0

х1=0, х2=0, х3=0

нечётное количество одинаковых корней, => знаки при переходе через точку х=0 меняем.

 {(x - 1)}^{4}  = 0, </p><p>(x - 1) \times (x - 1) \times (x - 1) \times (x - 1) = 0

х1=1, х2=1, х3=1, х4=1

четное количество одинаковых корней, => знаки при переходе через точку х=1 не меняем

х+5=0, х=-5

1-4х=0, х=0,25

 {(x + 3)}^{2}  = 0

х1=-3, х2=-3

.... знаки не меняем

х-8=0, х=8

2. на числовой прямой в порядке возрастания расположить корни множителей, определить знак выражения на каждом промежутке

продолжение на фото

Приложения:
Вас заинтересует