• Предмет: Геометрия
  • Автор: Tanya1311156
  • Вопрос задан 2 года назад

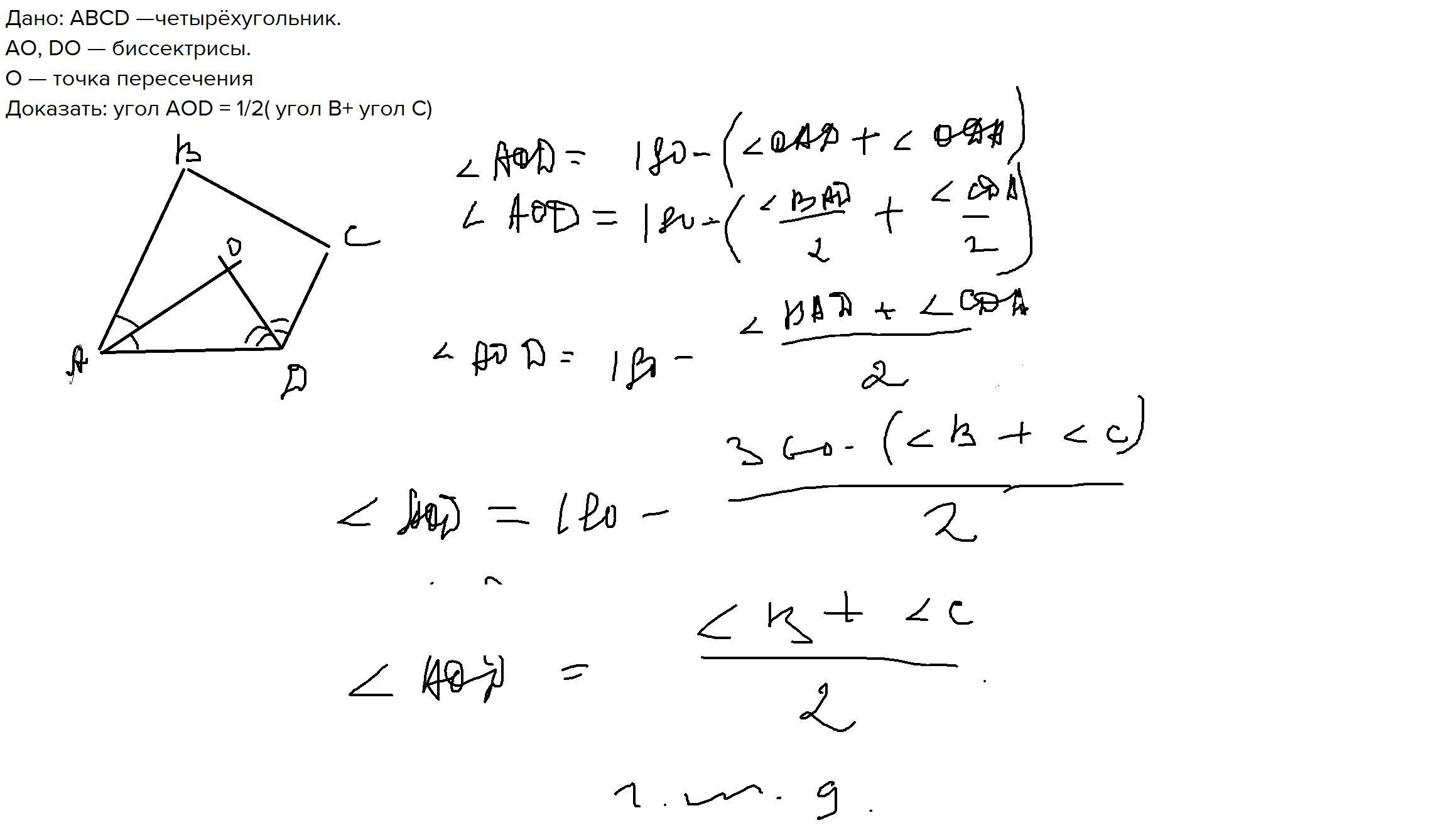
Дано: ABCD —четырёхугольник.
АО, DO — биссектрисы.
О — точка пересечения
Доказать: угол AOD = 1/2( угол В+ угол С)

Ответы

Ответ дал: vikll
1

Ответ:Дано: ABCD —четырёхугольник

Объяснение:

Приложения:
Вас заинтересует