• Предмет: Математика
  • Автор: epicpb1
  • Вопрос задан 2 года назад

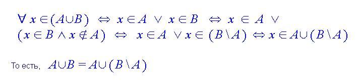
Доказать тождество,1 курс

Приложения:

Ответы

Ответ дал: Аноним
0

Ответ: фото

Пошаговое объяснение:

Приложения:
Вас заинтересует