• Предмет: Алгебра
  • Автор: veronichka888
  • Вопрос задан 2 года назад

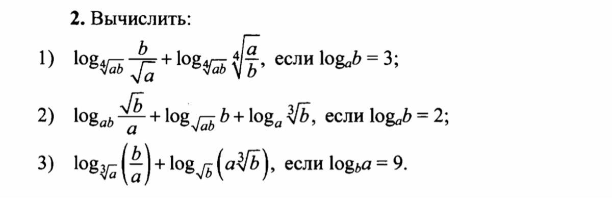
Алгебра- вычисления с логарифмами 50 баллов

Приложения:

Ответы

Ответ дал: m11m
0

Ответ:

Объяснение:

!!!!!!!!!!!!!!!!!!!!!!

Приложения:
Вас заинтересует