• Предмет: Математика
  • Автор: An1tа
  • Вопрос задан 2 года назад

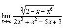
Помогите пожалуйста! Мне бы только ответ узнать.

Приложения:

Ответы

Ответ дал: Аноним
1

Ответ здесь нуль. т.к. максимальный  показатель степени числителя 2, меньше максимального показателя степени знаменателя, а х стремится к бесконечности. Т.е. знаменатель быстрее стремится к бесконечности, нежели числитель.


nn8255241: Здравствуйте! Не могли бы вы и мне, пожалуйста, помочь? Вот вопрос..https://znanija.com/task/32763644
Вас заинтересует