• Предмет: Алгебра
  • Автор: vmartaa931
  • Вопрос задан 2 года назад

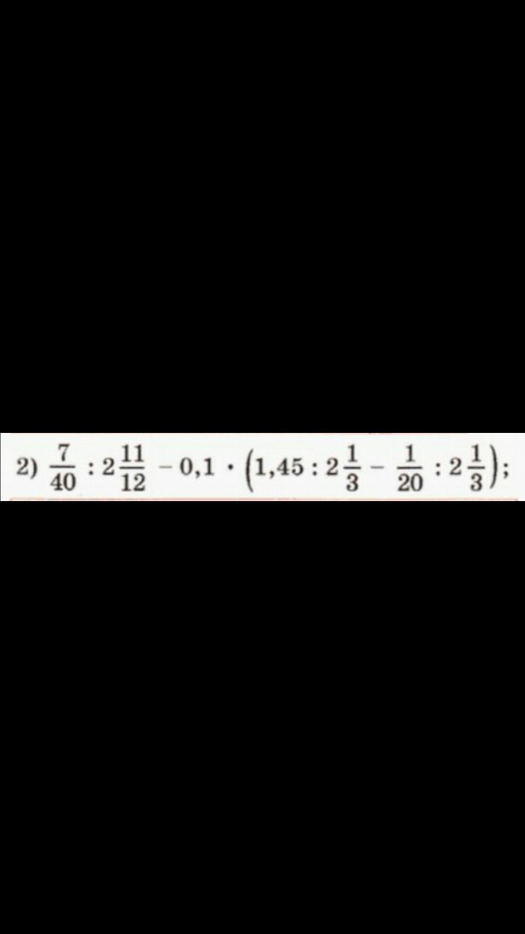
Помогите пожалуйста
Заранее спасибо

Приложения:

Ответы

Ответ дал: lucky434
1
Думаю, что так( могла ошибаться, извините)
Приложения:
Вас заинтересует