Ответы
Ответ дал:
0
Ответ:
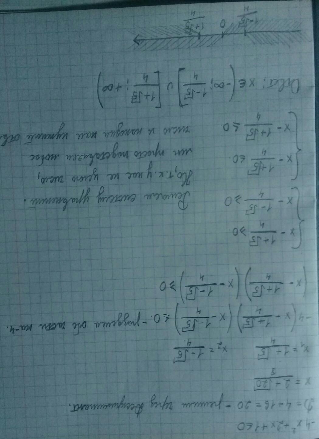
Надеюсь, что хорошо видно и все понятно.
Объяснение:
Я решил сделать с небольшим объяснением. Объяснение на фотографии
Приложения:

Вас заинтересует
1 год назад
1 год назад
2 года назад
2 года назад
3 года назад
3 года назад
8 лет назад