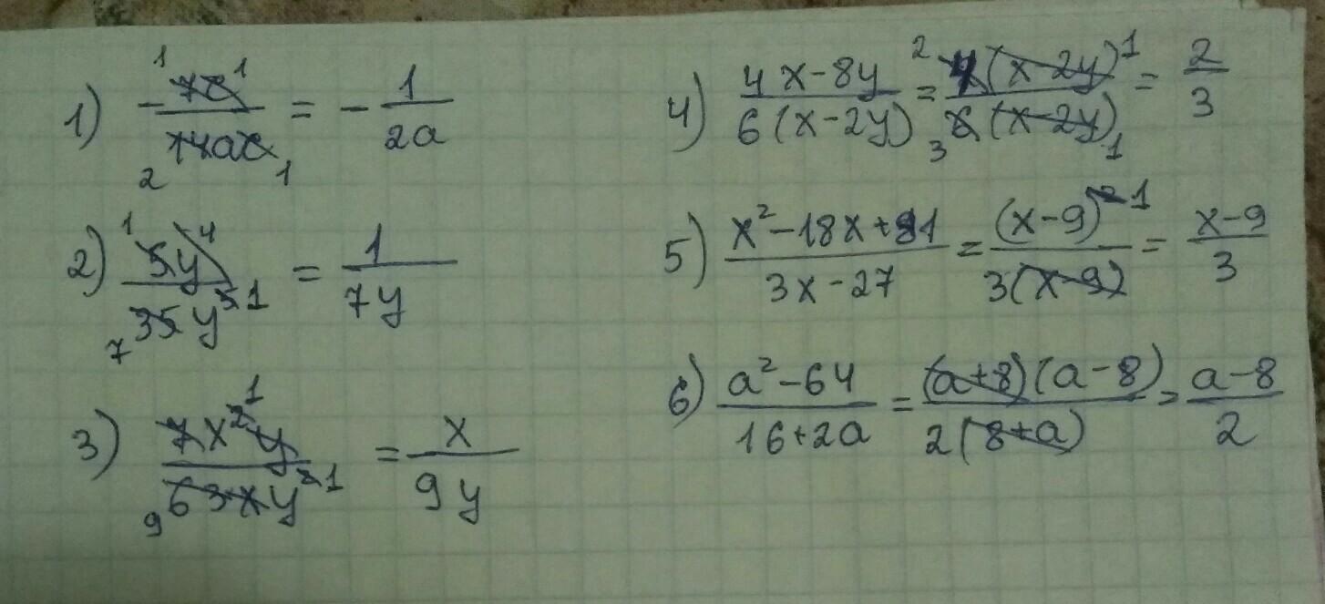
Сократите дроби: -7с/14ас; 5у^4/35у^5; 7х^2у/63ху^2; 4х-8у/6(х-2у); х^2-18х+81/3х-27; а^2-64/16+2а
Ответы
Ответ дал:
1
Ответ:
держи ответы)))))))))
Приложения:

Ответ дал:
3
Вас заинтересует
1 год назад
1 год назад
2 года назад
2 года назад
3 года назад
3 года назад
8 лет назад
8 лет назад