• Предмет: Математика
  • Автор: elvinamamedova2019
  • Вопрос задан 2 года назад

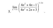
Предел, одно задание

Приложения:

Ответы

Ответ дал: Gerren
1

Ответ:

e^(-1)

Пошаговое объяснение:

Используем второй замечательный предел

lim n->∞ (1+n/x)^(ax)=e^(an)

Сперва выделим целую часть (делю столбиком)

4n^2+4n-1     |4n^2+2n+3

-                    ---------------

4n^2+2n+3   | 1

-------------------

          2n-4

Получаем:

(1+(2n-4)/(4n^2+2n+1))^(1-2n)

Теперь преобразуем показатель

1-2n=(4n^2+2n+3)(1-2n)(2n-4)/(2n-4)(4n^2+2n+3)=(2n-4)(1-2n)/(4n^2+2n+3)=-2(n-2)(2n-1)/(4n^2+2n+3)=-2(2n^2-n-4n+2)/(4n^2+2n+3)=-2(2n^2-5n+1)/(4n^2+2n+3)

Переходим к пределу

lim n->∞ (1+(2n-4)/(4n^2+2n+1))^(-2(2n^2-5n+1)/(4n^2+2n+3))=lim n->∞ e^(-2(2n^2-5n+1)/(4n^2+2n+3)) (делим на старшую степень n^2)=e^(-1)

Вас заинтересует