• Предмет: Математика
  • Автор: lisamikichyanp8wrau
  • Вопрос задан 2 года назад

Помогите пожалуйста!! Хоть сколько!! СРОЧНО!

Приложения:

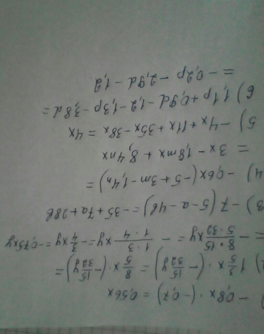
jekadva: 1) = 0,56x
jekadva: 2) = -3/4xy
jekadva: 3) = 7a + 28b - 35
jekadva: 4) = 3x - 1,8xm + 0,84xn
jekadva: 5) = 4x
jekadva: 6) = -2,9d - 0,2p - 1,2
jekadva: 7) = 116x - 87y - 12y + 7,2x = 123,2x - 99y
jekadva: 8) = 2,4x - 7,2 - 2x + 2,8 = 0,4x - 4,4

Ответы

Ответ дал: ivan48367
1

Ответ:

.....................

Приложения:

jekadva: исправь в 4) 0,84nx
lisamikichyanp8wrau: Спасибо огромное))
Вас заинтересует