• Предмет: Алгебра
  • Автор: Chelovekanarchig
  • Вопрос задан 2 года назад

ОЧЕНЬ ОЧЕНЬ ОЧЕНЬ ОЧЕНЬ СРОЧНО!!!! ПОМОГИТЕ, ПОЖАЛУЙСТА, ОЧЕНЬ СРОЧНО!!!!!!!!!!!!!!!!!!!!!!!

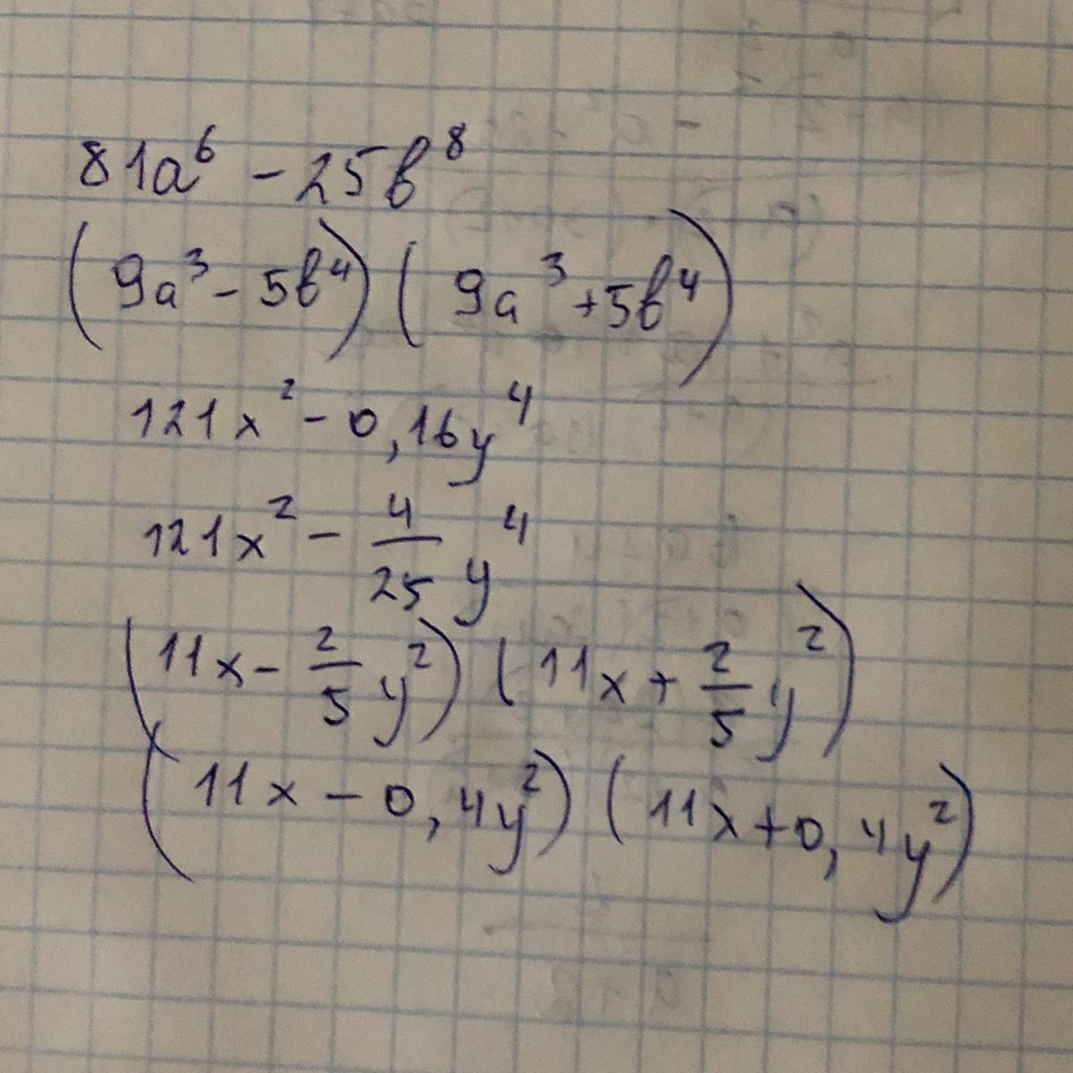
81a^6-25b^8

121x^2-0.16y^4

разложите на множители

Ответы

Ответ дал: Nеlly
0

Вот так вот
Можешь пометить как лучший ответ
Приложения:
Вас заинтересует