• Предмет: Алгебра
  • Автор: frankness14
  • Вопрос задан 2 года назад

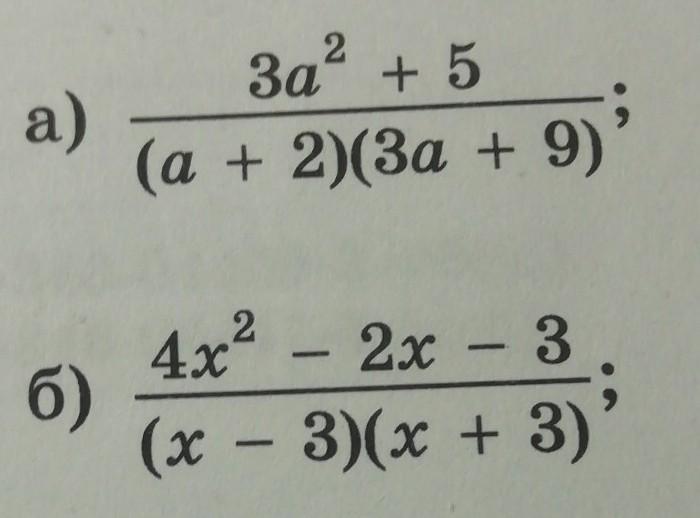
Найдите, При каких значениях переменной не имеет смысла алгебраическая дробь. Срочно не из интернета и с объяснениями. ​

Приложения:

Ответы

Ответ дал: HermitPurple
0

Если хоть одно из выражений в скобках будет равно нулю, так как тогда знаменатель дроби будет равен 0, а на ноль делить нельзя, тогда дробь не будет иметь смысла. Покажу на примере, возьмем одно из выражений в скобках: (a+2), если переменная "а" будет равна "-2", то выражение в скобках будет равно нулю. А так как в знаменателе дроби между двумя скобками стоит знак умножения то и знаменатель дроби будет равен нулю, а значит дробь не будет иметь смысла.


frankness14: а решать то как?
Вас заинтересует