• Предмет: Алгебра
  • Автор: thankyou17
  • Вопрос задан 2 года назад

пожалуйста помогите!!!!!!!!!!!!​

Приложения:

Ответы

Ответ дал: marat198641
0

Ответ:

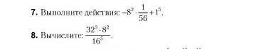
7) \\  \\    - \frac{64 \times 1}{1 \times 56}  +  \frac{1}{1}  =  -  \frac{16 \times 1}{1 \times 14}  +  \frac{1}{1}  =  -  \frac{8}{7}  +  \frac{1}{1}  =  -  \frac{1}{7}


marat198641: там в конце -1/7
thankyou17: хорошо
Ответ дал: sofiia57
0

8. 2 ( 32^3 = 2^15; 8^2 = 2^6; 16^5 = 2^20; 2^15 * 2^6 = 2^21; 2^21 : 2^20 = 2)
Вас заинтересует