• Предмет: Алгебра
  • Автор: dadbnj
  • Вопрос задан 2 года назад

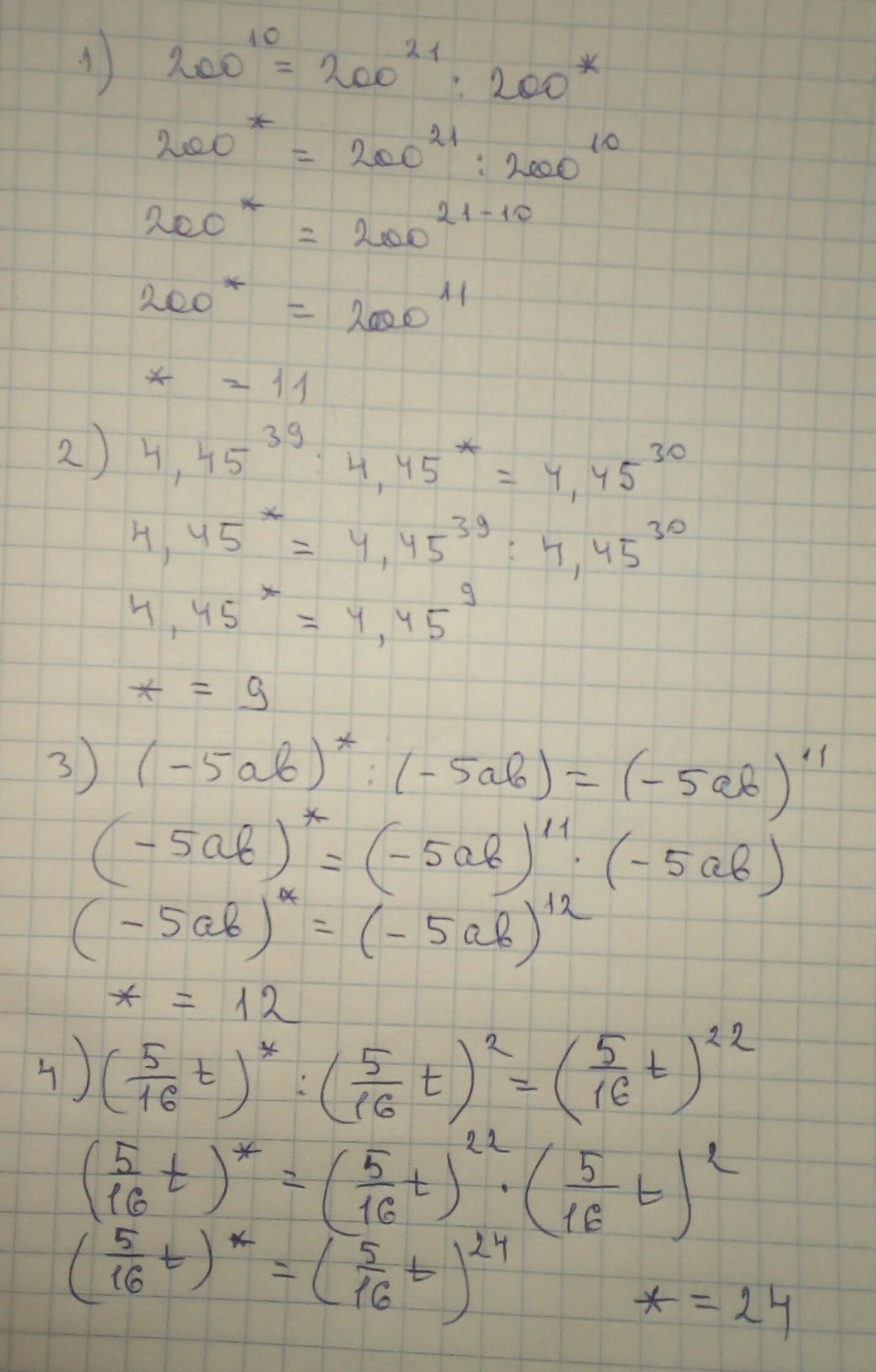
памагите пажалуста номер 3.6

Приложения:

Ответы

Ответ дал: ЯгодкаЯлесная
1

Ответ:

фоточка тебе в помощь;)

Приложения:

dadbnj: мне ещё нужна твоя помощь поможешь ?
ЯгодкаЯлесная: спрашивай
dadbnj: я там ещё скинул помоги номер 3.6
dadbnj: ой 2.6
Вас заинтересует