Ответы
Ответ дал:
0
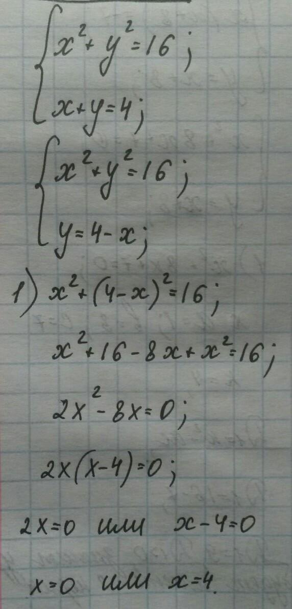
Вот решение системы способом подстановки.
Приложения:


Вас заинтересует
1 год назад
1 год назад
2 года назад
2 года назад
3 года назад
3 года назад