• Предмет: Математика
  • Автор: maranafka
  • Вопрос задан 2 года назад

Решите плиз

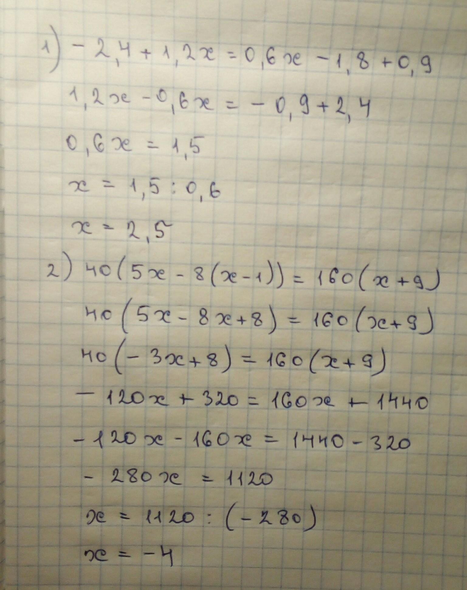
-0,3(8-4х)=0,6(х-3)+0,9




40(5х-8(х-1))=160(х+9)

Ответы

Ответ дал: tatsach
2

Ответ:

Пошаговое объяснение:

-0,3(8-4х)=0,6(х-3)+0,9

-2.4+1.2х=0.6х-1.8+0.9

1.2х-0.6х=-1.8+0.9+2.4

0.6х=1.5

х=1.5:0.6

х=2.5

40(5х-8(х-1))=160(х+9)

40(5х-8х+8)=160(х+9)

40(8-3х)=160(х+9)

320-120х=160х+1440

-120х-160х=1440-320

-280х=1120

х=1120:(-280)

х=-4


maranafka: Огромное спасибо,а то я голову ломала !!!!
Ответ дал: ЯгодкаЯлесная
1

Ответ:

фоточка тебе в помощь;)

Приложения:
Вас заинтересует