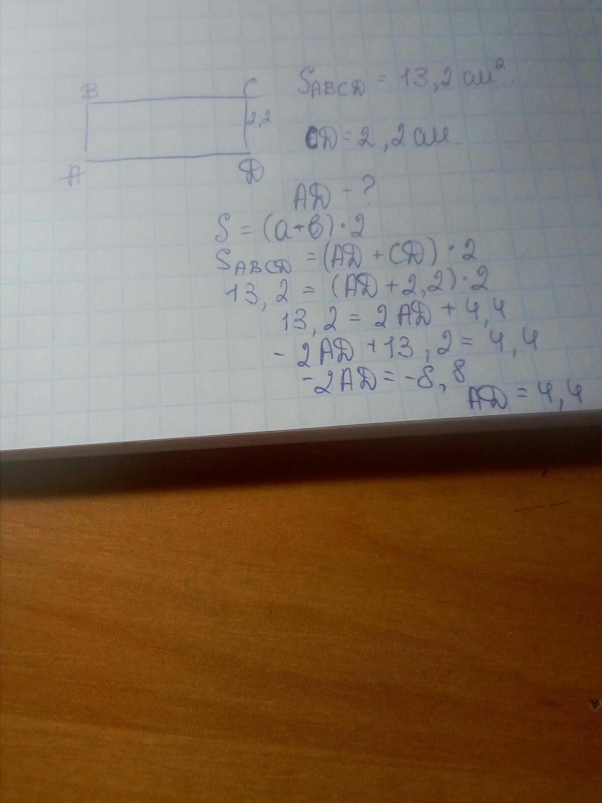
Площадь прямоугольника равна 13,2 см(квадратных) , длина одной из его сторон равна 2,2 см.Чему равна длина другой стороны?
Ответы
Ответ дал:
0
Ответ:
Пошаговое объяснение:
Приложения:
Вас заинтересует
2 года назад
2 года назад
2 года назад
2 года назад
3 года назад
3 года назад
9 лет назад
9 лет назад