• Предмет: Алгебра
  • Автор: Elhart
  • Вопрос задан 2 года назад

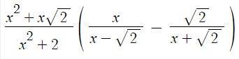
Упростить выражение с дробями:

Приложения:

Ответы

Ответ дал: lidiasaraa3
1

на фото.................

Приложения:
Вас заинтересует