• Предмет: Алгебра
  • Автор: nastay97ru
  • Вопрос задан 11 лет назад

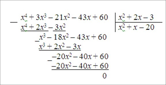
1. Выполнить деление многочлена x^4 + 3x^3 − 21x^2 − 43x + 60 на многочлен x^2 + 2x − 3

Ответы

Ответ дал: Санечка69
0

См. решение на рисунке

Ответ: х² + х - 20.

Приложения:
Вас заинтересует