• Предмет: Математика
  • Автор: pepapig13
  • Вопрос задан 2 года назад

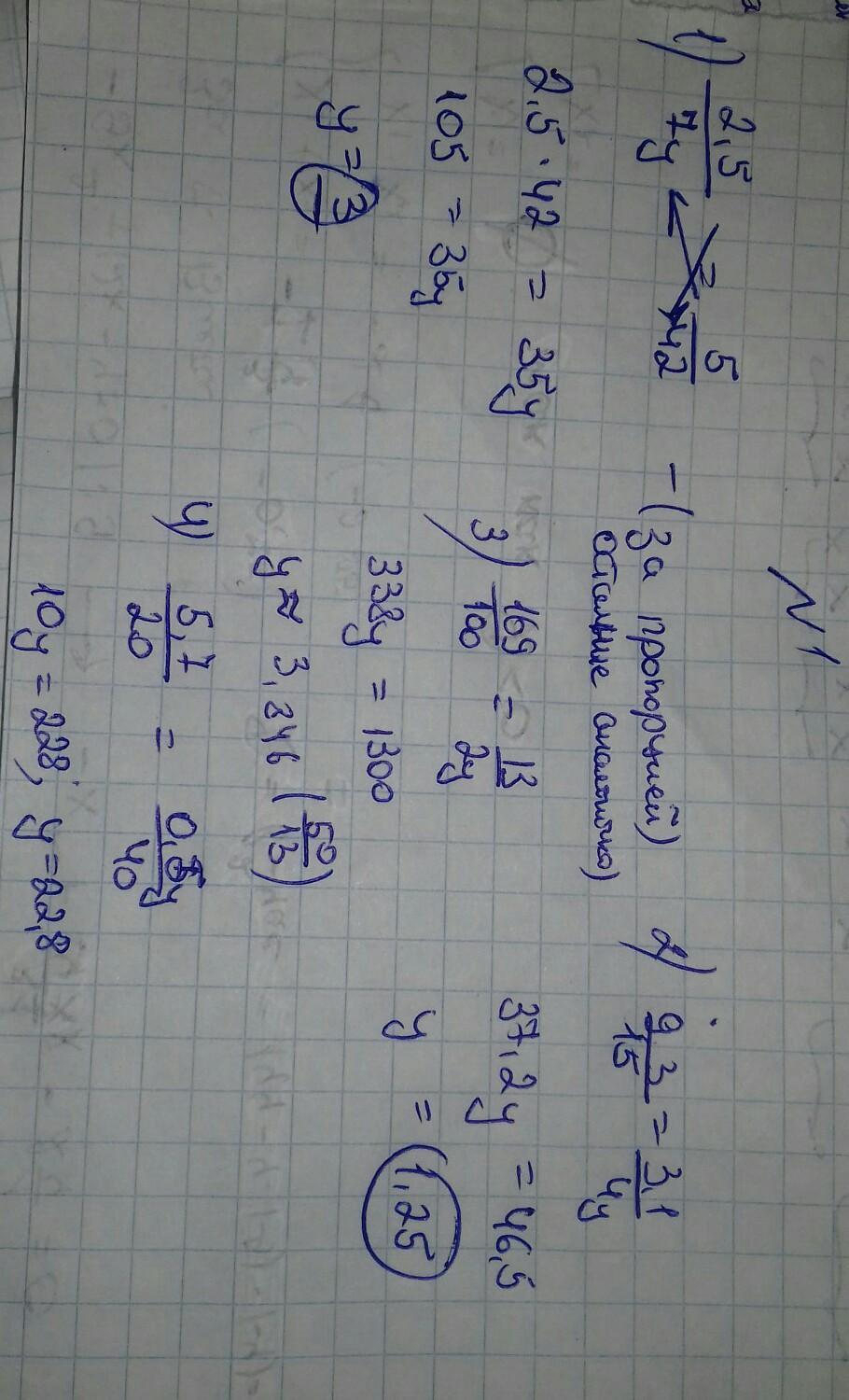
1) 2,5 5 2) 9,3 3)169
___ = _ _ _____
7у 42 15 100

4)5,7
__
20 решите уравнение ( ну если можно то и объяснить (\_/) )
{^&^}

Приложения:

Ответы

Ответ дал: Аноним
7

Ответ:

Пошаговое объяснение:

Ответ на фото ниже. Обнови если не прогрузило.

Приложения:

pepapig13: спасибо большое
Аноним: Обращайся.
Вас заинтересует