• Предмет: Алгебра
  • Автор: gologop10p5fx18
  • Вопрос задан 2 года назад

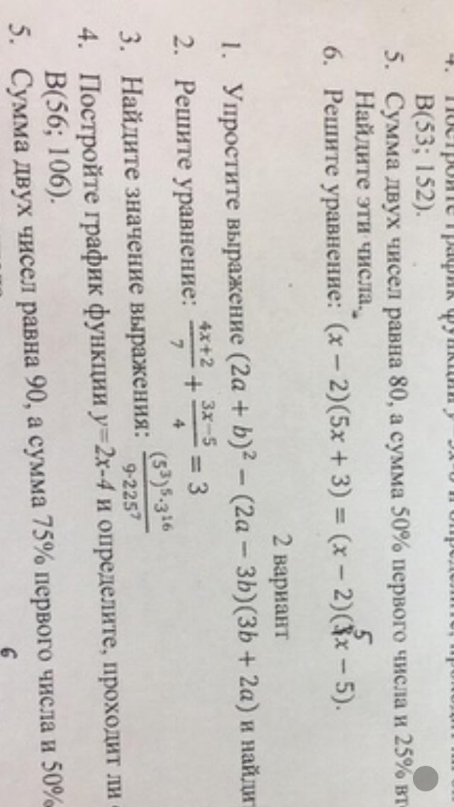
3 задание помогите пожалуйста

Приложения:

Ответы

Ответ дал: Universalka
0

\frac{(5^{3})^{5}*3^{16}}{9*225^{7}}=\frac{5^{15}*3^{16}}{3^{2}*(3^{2}*5^{2})^{7}}=\frac{5^{15}*3^{16}}{3^{2}*3^{14}*5^{14}}=\frac{5^{15}*3^{16}}{3^{16}*5^{14}}=5\\\\Otvet:\boxed{5}

Вас заинтересует