• Предмет: Алгебра
  • Автор: cherylcherry
  • Вопрос задан 2 года назад

РЕШИТЕ ПЛИЗззззЗзЗз​

Приложения:

Ответы

Ответ дал: Nierina
1

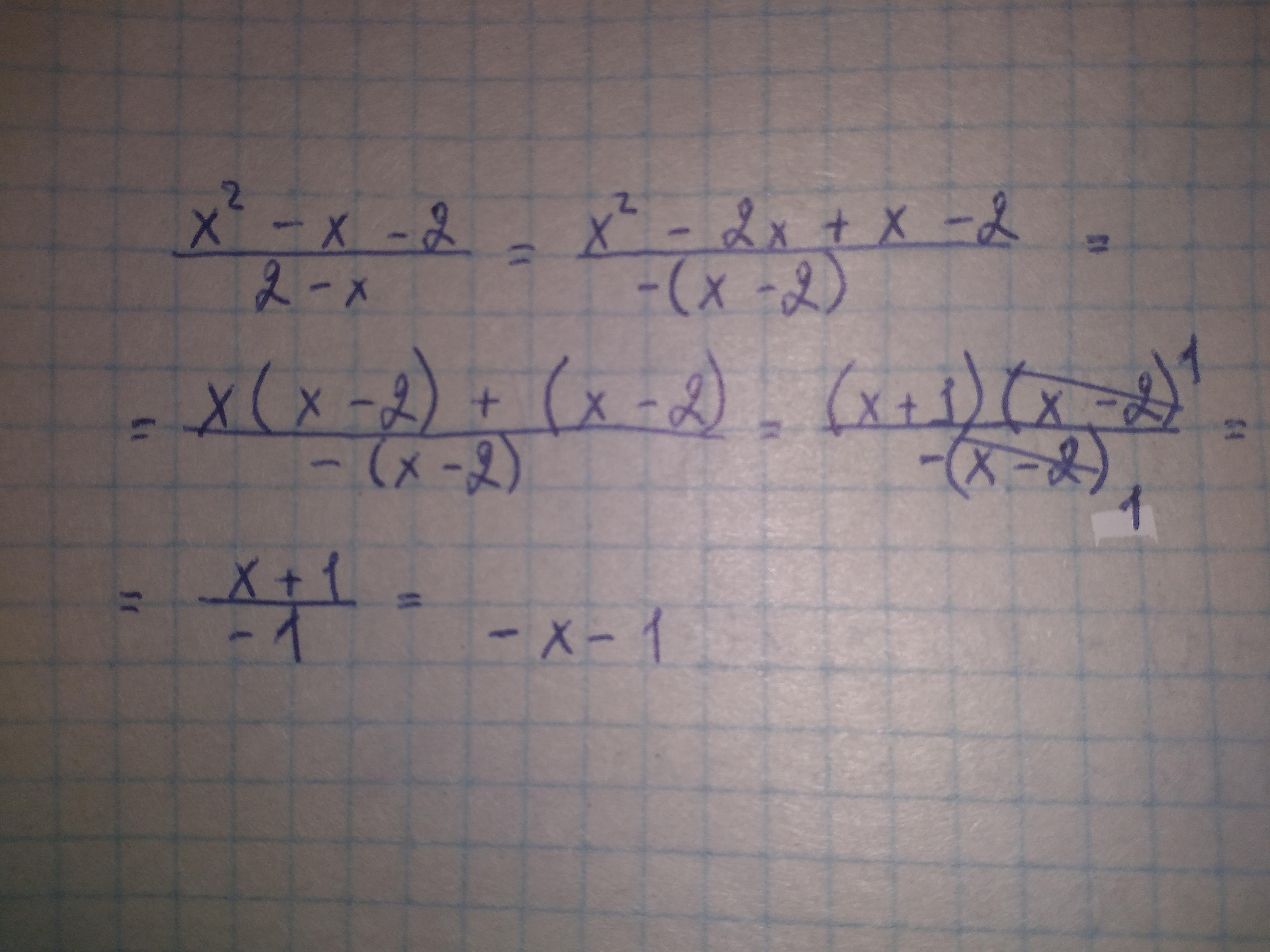
Ответ:-х-1

Объяснение:решение на фото

Приложения:
Вас заинтересует