• Предмет: Алгебра
  • Автор: lilkawaiisenpai
  • Вопрос задан 2 года назад

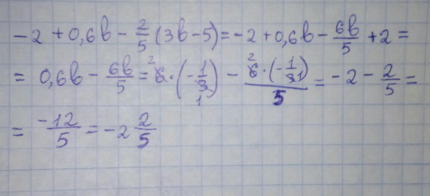
-2+0,6b- 2/5(3b-5) при b=-1/3
пж

Ответы

Ответ дал: anasafiulina
0

Ответ:

вот ответ)))))))))))

Приложения:
Ответ дал: mlnkrv
0

Объяснение:

-2+0,6b-6/5+10/5=

=-2+0,6•(-1/3)-6/5•(-1/3)+10/5=-2 2/5

Вас заинтересует