• Предмет: Алгебра
  • Автор: Valeria05072002
  • Вопрос задан 2 года назад

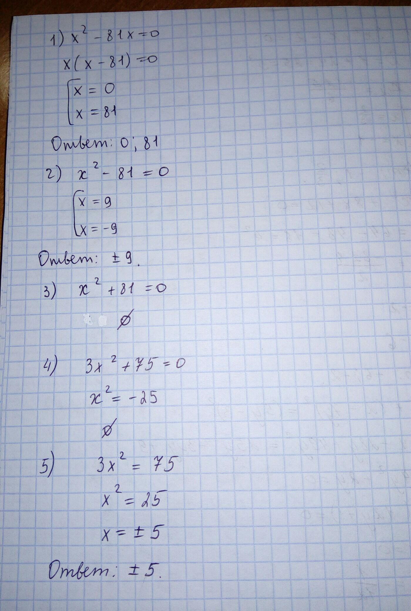
Решите пожалуйста♥
Буду очень благодарна)))

Приложения:

Ответы

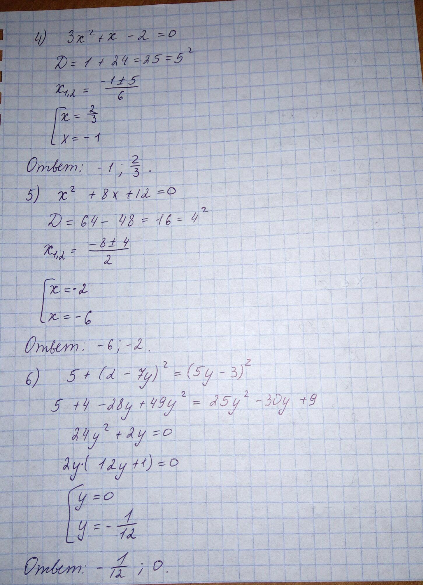
Ответ дал: trustmeornot
0
надеюсь помогла, удачи
Приложения:

Valeria05072002: Спасибо♥
Вас заинтересует