Ответы
Ответ дал:
0
Ответ:
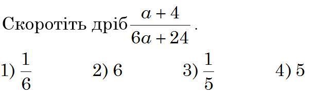
1)
Объяснение:
))))))))))))))))))))
Приложения:

Вас заинтересует
1 год назад
1 год назад
2 года назад
2 года назад
3 года назад
8 лет назад