• Предмет: Химия
  • Автор: Кристиночка2003
  • Вопрос задан 2 года назад

Решите пожалуйста.
Метод электронного баланса (ОВР)
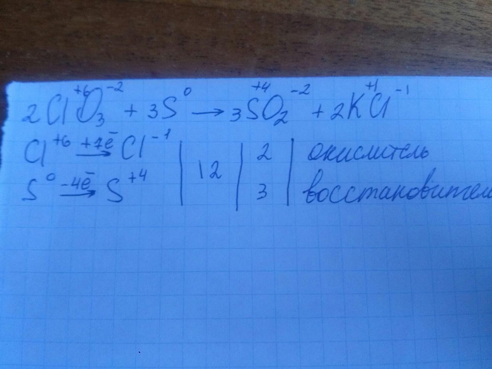
CL03+S→ SO2+KCL

Ответы

Ответ дал: VARYA102005
0

Ответ:

Объяснение:

Это готовый вид, с расставлеными коэффицентами

Приложения:

Кристиночка2003: Привет, а еще не поможешь решить?
Вас заинтересует