Ответы
Ответ дал:
3
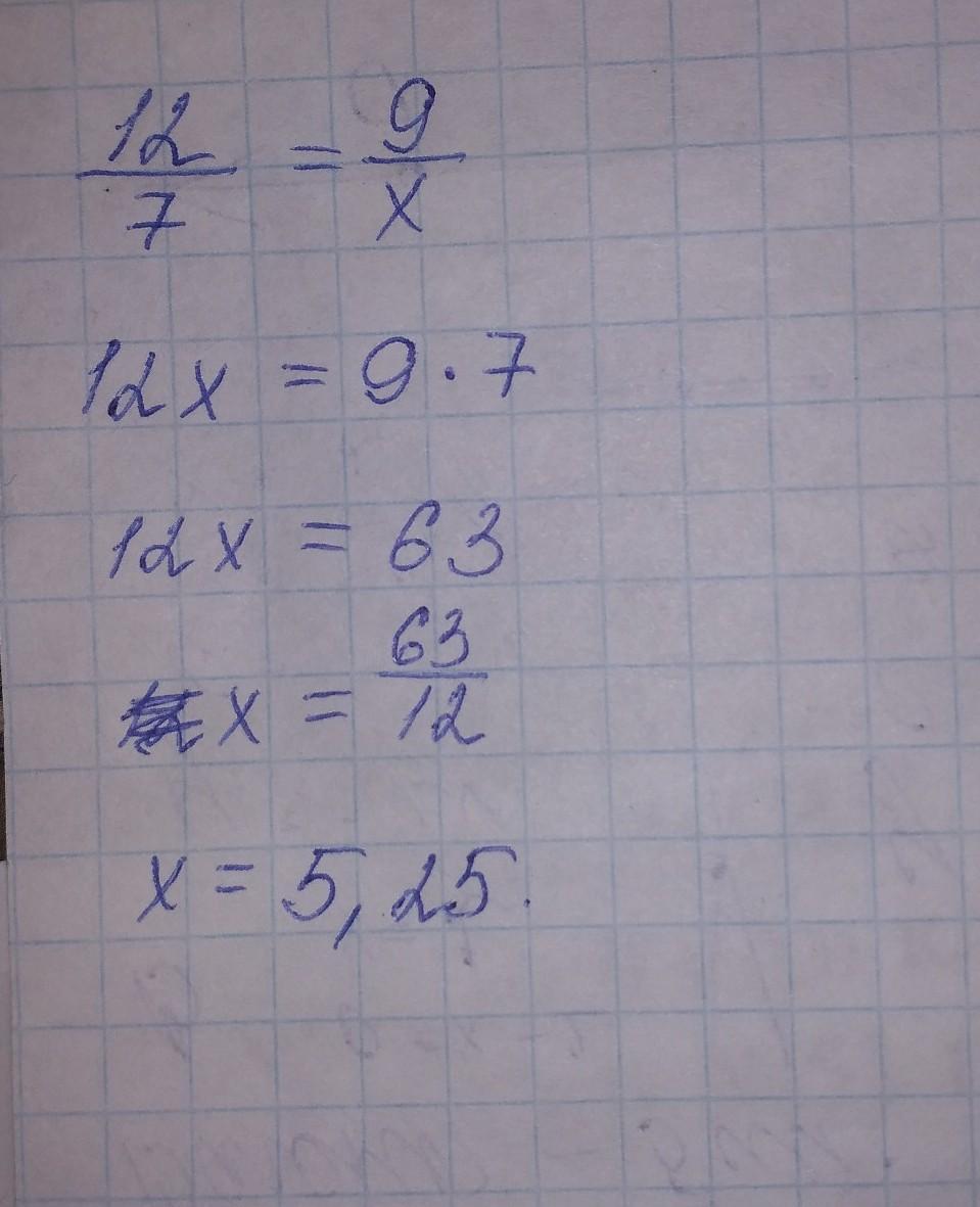
12/7 = 9/х
36/21 = 36/4х
21 = 4х
х = 5,25
Ответ дал:
4
Ответ:
Решаем пропорцию.
Пошаговое объяснение:
Ну,там видно.
Приложения:

beka28277:
Спасибо огромное. Мы правда чуть по другому решили. Но вы прям в точку. Спасибо. Мегамозг
Вас заинтересует
1 год назад
1 год назад
2 года назад
2 года назад
3 года назад
3 года назад
8 лет назад