• Предмет: Алгебра
  • Автор: fmfmffkfgkfng
  • Вопрос задан 2 года назад

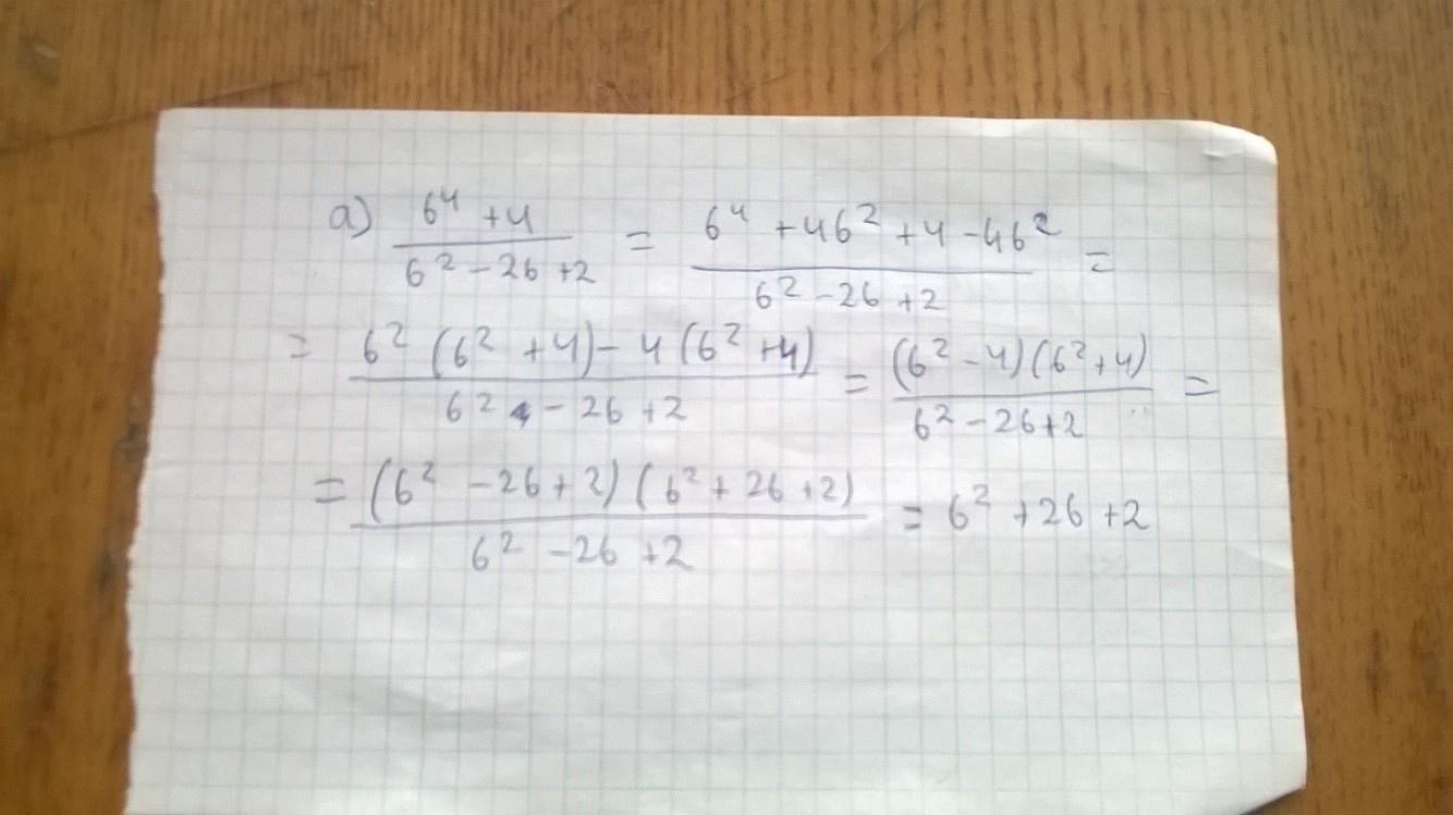
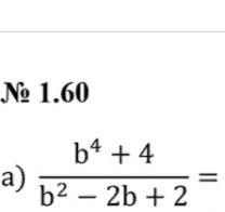
алгебра, 2 примера, срочно капец


Приложения:

Ответы

Ответ дал: 404ame
1

Если что то не понятно - пиши.

Приложения:

fmfmffkfgkfng: СПАСИБО!!!
Вас заинтересует