• Предмет: Алгебра
  • Автор: ZZZZZSWISSZZZZZ
  • Вопрос задан 2 года назад

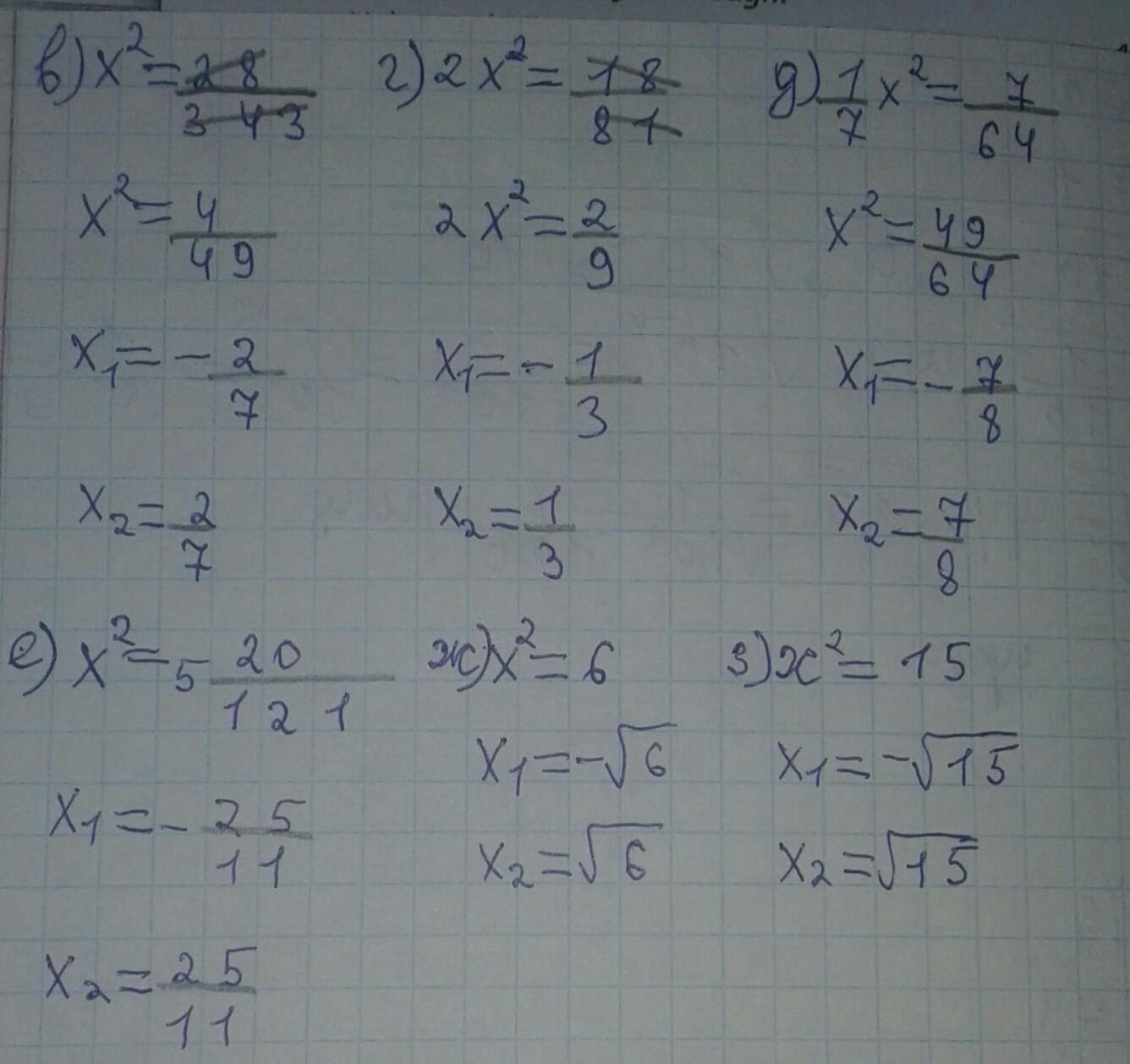
Алгебра 8 класс.
Уважаемые, решите уравнения:
(там где стоят галочки), распишите, пожалуйста, решения, не голые ответы. Спасибо, Всем.

Вот ответы в конце учебника к этому номеру:
г) [-8; 8];
д)(-знак бесконечности;-9]знак рюмка[9;+знак бесконечности);
е) x=10
Ребята, кто силен в алгебре.? Пожалуйста, решите.

Приложения:

s0807: ответы не к этому номеру, внимательно посмотрите г и д

Ответы

Ответ дал: 1574577
1

......................

Приложения:
Вас заинтересует