• Предмет: Математика
  • Автор: 123456789105583
  • Вопрос задан 2 года назад

Помогите плиз, даю 10 баллов. может кто шарит в этом)
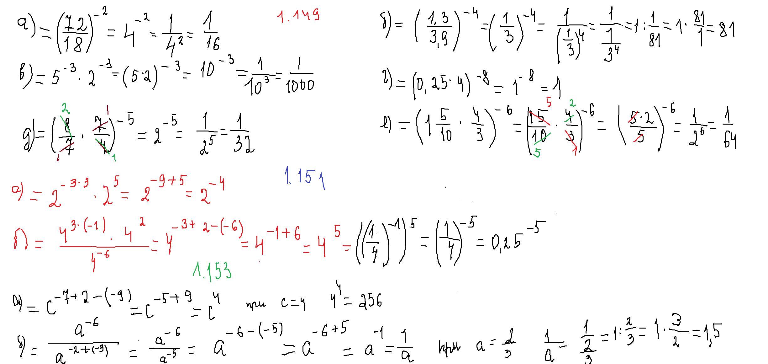
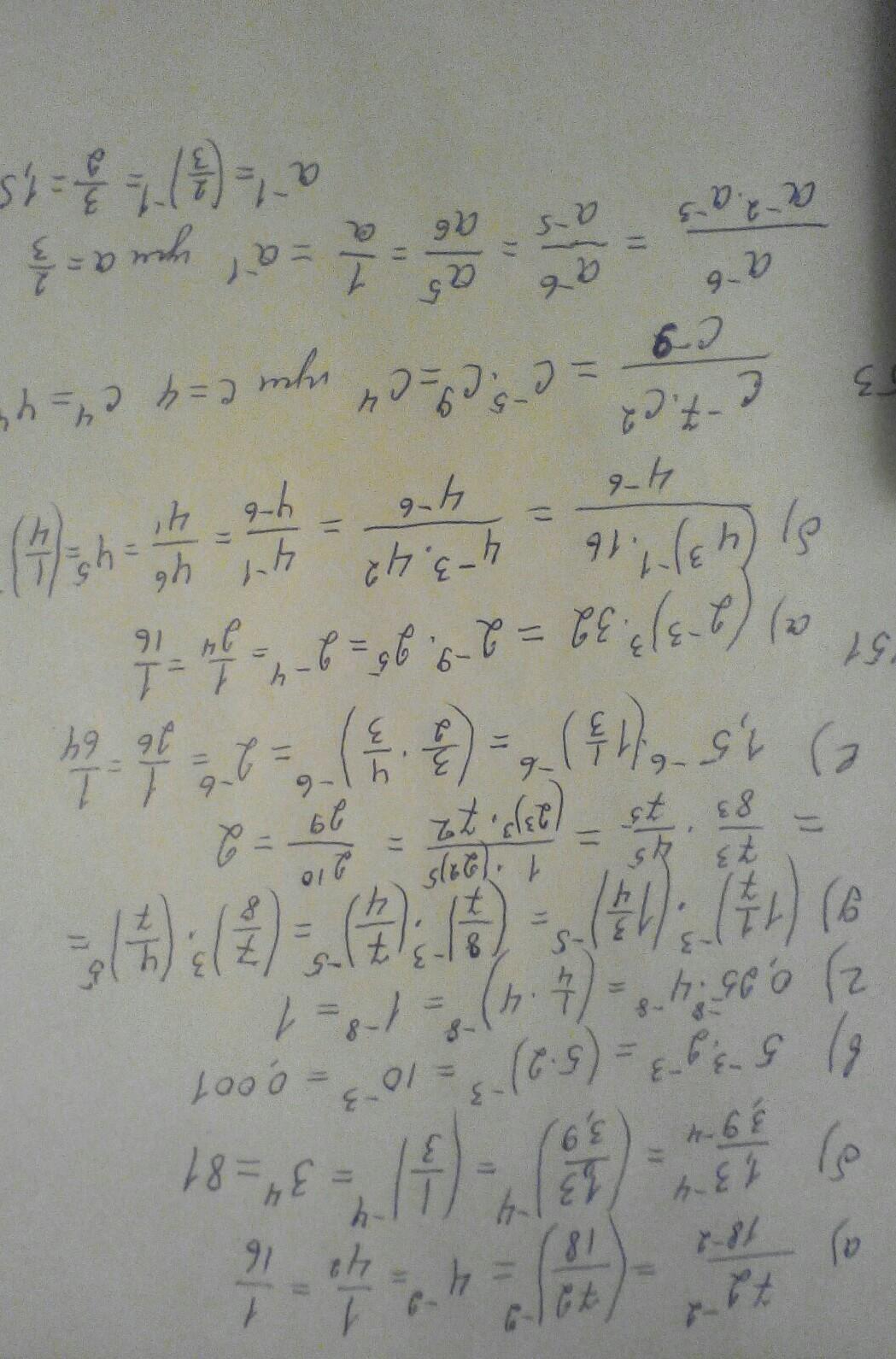
Номера 1.149, 1.151 и 1.153

Приложения:

Ответы

Ответ дал: ivan48367
1

Ответ:

..............................................

Приложения:
Ответ дал: parus77
1

Ответ:

Пошаговое объяснение:

применяем свойства степеней

Приложения:
Вас заинтересует