Ответы
                                            Ответ дал: 
                                                                                    
                                        
                                            
                                                
                                                
                                                
                                                    2
                                                
                                            
                                        
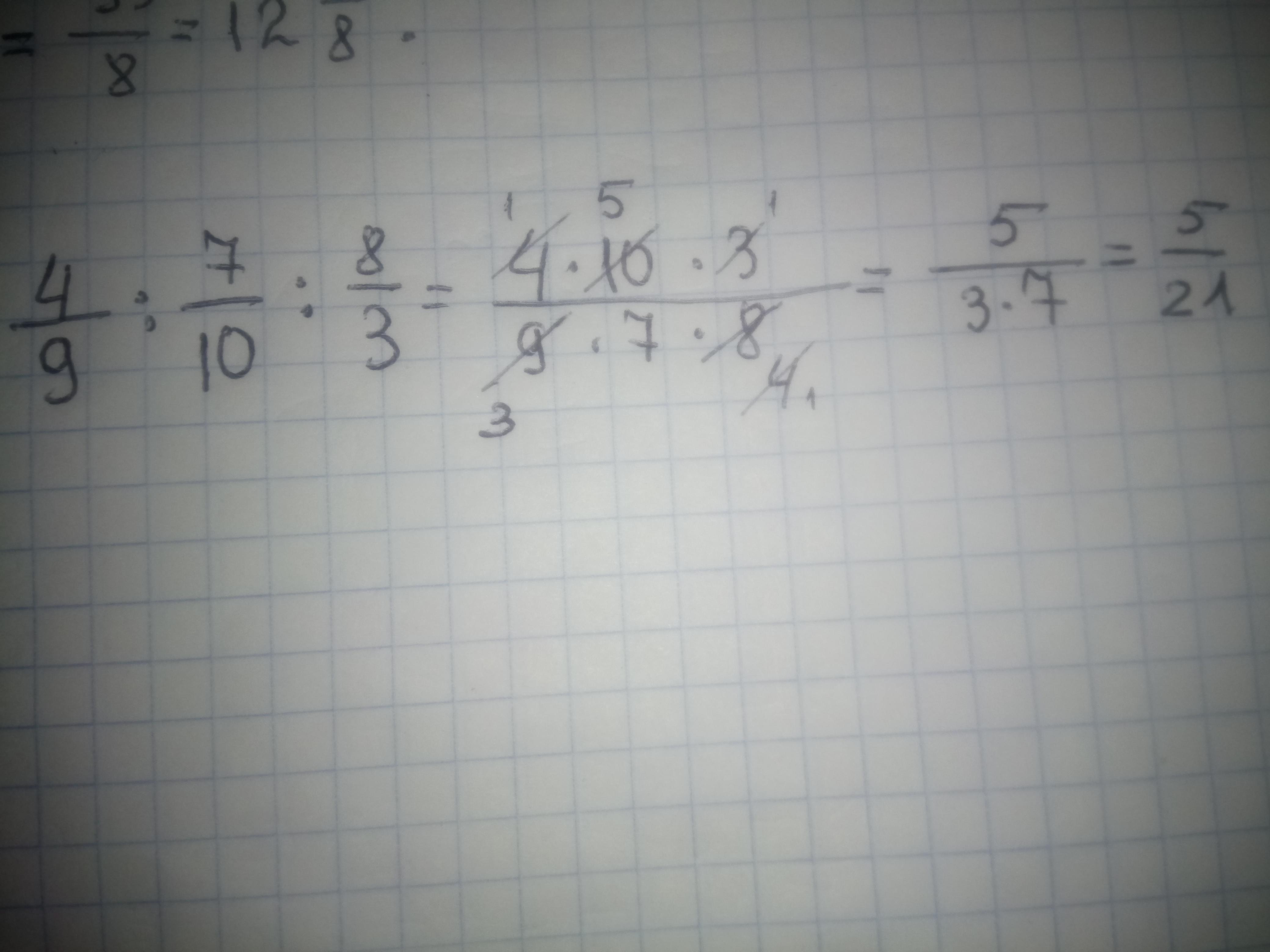
                                    4/9 : 7/10 : 8/3=
(4 * 10 * 3)/(9 * 7 * 8)=(1 * 10 * 1)/(3 * 7 * 2)=5/(3*7)=5/21.
Сократили 3 и 9 на 3; 4 и 8 на 4; потом 10 и 2 на 2)))
                                            Ответ дал: 
                                                                                            
                                                    
                                                
                                                                                    
                                        
                                            
                                                
                                                
                                                
                                                    1
                                                
                                            
                                        
                                    Решение задания приложено
Приложения:
                    
                            Вас заинтересует
                
                        1 год назад
                    
                
                        1 год назад
                    
                
                        2 года назад
                    
                
                        2 года назад
                    
                
                        3 года назад
                    
                
                        8 лет назад