• Предмет: Математика
  • Автор: Аноним
  • Вопрос задан 2 года назад

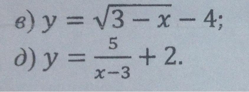
Построить графики следующих функций:

Приложения:

Ответы

Ответ дал: MISSSUNSINE
1

Ответ:

Пошаговое объяснение:

1.   область определения

     3-x≥0

     -x≥-3

       x≤3

строим по точкам (смотрим фото)

x=3    y=-4

x=-1    y=-2

x=-6    y=-1

2.  гипербола

область определения

  x-3≠0

   x≠3

x∈(-∞;3)∪(3;+∞)

строим по точкам (смотрим фото и увеличенное фото)

x=8    y=3

x=5    y=4,5

x=4    y=7

x=1    y=-0,5

x=-2    y=1

x=-7    y=1,5

Приложения:

Аноним: Я чо-то немного не понял. 1 это типо буква В под вопросом, а 2 это Д?
MISSSUNSINE: дааа
Вас заинтересует