• Предмет: Алгебра
  • Автор: Аноним
  • Вопрос задан 2 года назад

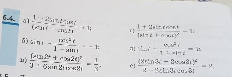
Докажите тождество. (Срочно! Решите все, пожалуйста)

Приложения:

Ответы

Ответ дал: NNNLLL54
0

1)\; \; \frac{1-2\, sint\, cost}{(sint-cost)^2}=\frac{1-2\, sint\, cost}{sin^2t+cos^2t-2\, sint\, cost}=\frac{1-2\, sint\, cost}{1-2\, sint\, cost}=1\\\\\\2)\; \; sint-\frac{cos^2t}{1-sint}=\frac{sint\, (1-sint)-cos^2t}{1-sint}=\frac{sint-sin^2t-cos^2t}{1-sint}=\\\\=\frac{sint-(sin^2t+cos^2t)}{-(sint-1)}=\frac{sint-1}{-(sint-1)}=-1

3)\; \; \frac{(sin2t+cos2t)^2}{3+6\, sin2t\, cos2t}=\frac{sin^22t+cos^22t+2\, sin2t\, cos2t}{3\cdot (1+2\, sin2t\, cos2t)}=\frac{1+2\, sin2t\, cos2t}{3\cdot (1+2\, sin2t\, cos2t)}=\frac{1}{3}

4)\; \; \frac{1+2\, sint\, cost}{(sint+cost)^2}=\frac{1+2\, sint\, cost}{sin^2t+cos^2t+2\, sint\, cost}=\frac{1+2\, sint\, cost}{1+2\, sint\, cost}=1\\\\\\5)\; \; sint+\frac{cos^2t}{1+sint} =\frac{sint\, (1+sint)+cos^2t}{1+sint}=\frac{sint+sin^2t+cos^2t}{1+sint}=\frac{sint+1}{1+sint}=1\\\\\\6)\; \; \frac{(2\, sin3t-2\, cos3t)^2}{2-4\, sin3t\, cos3t}=\frac{2^2\cdot (sin3t-cos3t)^2}{2\cdot (1-2sin3t\, cos3t)}=\frac{2\cdot (sin^23t+cos^23t-2\, sin3t\, cos3t)}{1-2sin3t\, cos3t}=\\\\=\frac{2\cdot (1-2\, sin3t\, cos3t)}{1-2\, sin3t\, cos3t}=2

Вас заинтересует