• Предмет: Алгебра
  • Автор: Аноним
  • Вопрос задан 2 года назад

РЕШИТЕ СРОЧНО!!!!!
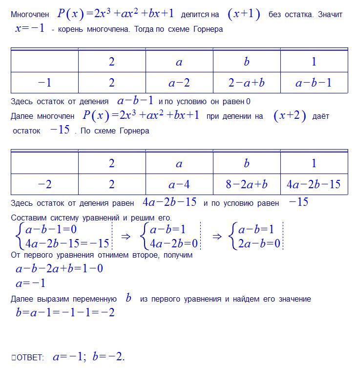
Многочлен P(x)=2x^3+ax^2+bx+1 делится на x+1 без остатка,а при делении на x+2 дает остаток -15


Аноним: Нужно найти коэффициенты?

Ответы

Ответ дал: Аноним
14

Ответ: .............

Объяснение:

Приложения:

Аноним: бан
doshik1617: многочленя знаю что никому это не смешно, кроме меня
sigimig666: Многочлен)))0)
Ответ дал: antonovm
7

Ответ:

a = -1 ; b = -2

1 ) P(-1) = 0 ⇒ -2+a -b +1 = 0 ⇒ a-b = 1   ( 1 )

2) P( -2) = -15 ⇒ -16 +4a -2b +1 = -15 ⇒ b = 2a

Подставляя в (1)  b = 2a ,  получим : a -2a = 1 ⇒ a = -1  ;  b = -2

В решении использовано следующее утверждение :

остаток от деления многочлена Р(х) на ( х - а)  равен Р(а)

Вас заинтересует