Ответы
Ответ дал:
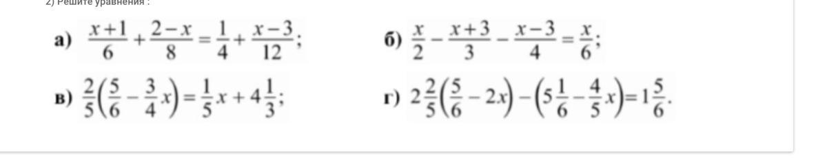
1
Ответ:
вот,если не слодно оцени лайком.
Приложения:



Вас заинтересует
1 год назад
1 год назад
2 года назад
3 года назад
8 лет назад
8 лет назад