• Предмет: Алгебра
  • Автор: kazakovaana40
  • Вопрос задан 2 года назад

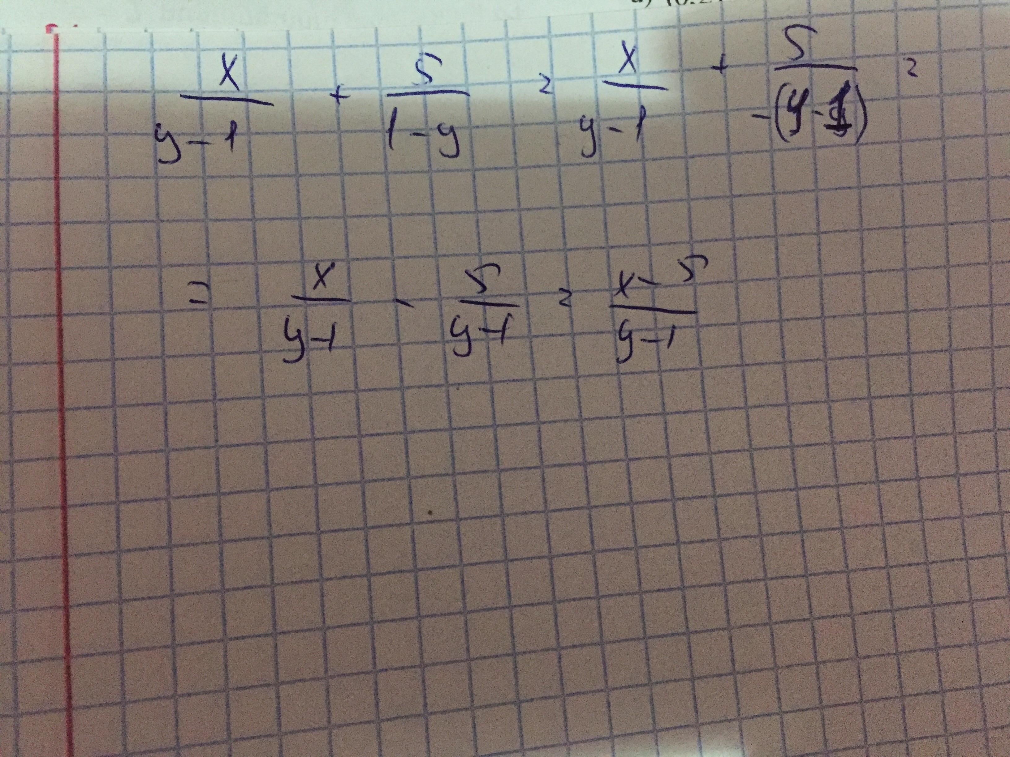
61. Упростите выражение:
x/y-1+5/1-y​

Ответы

Ответ дал: Аноним
3

—————      надеюсь        понятно        

Приложения:

Sockolmagic: ты как решаешь
kazakovaana40: там не одинаковые знаменатели
Аноним: смотрите внимательно и увидите что я привёл их к одинаковым
Аноним: добавил ещё одну фоту с объяснением если непонятно спрашиваете
Ответ дал: Sockolmagic
1

Ответ:

дробь x+4y-y в квадрате нижняя y

Объяснение:

Вас заинтересует