• Предмет: Математика
  • Автор: diogremori
  • Вопрос задан 2 года назад

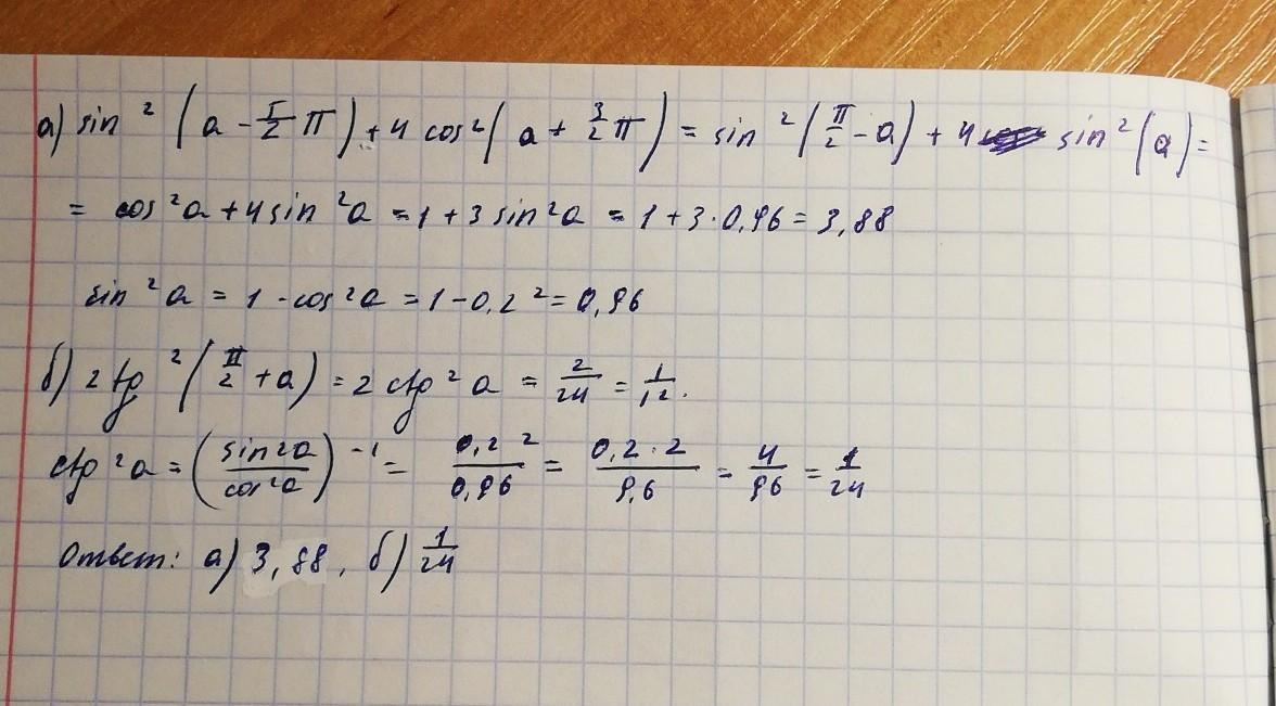
cosa=0.2. Вычислить значения выражений:
а) sin^2(a-5/2pi)+4cos^2(a+3/2pi)
б) 2Tg^2(pi/2+a)

Ответы

Ответ дал: pomidorkasvezhaya
0

///////////////////////

Приложения:
Вас заинтересует