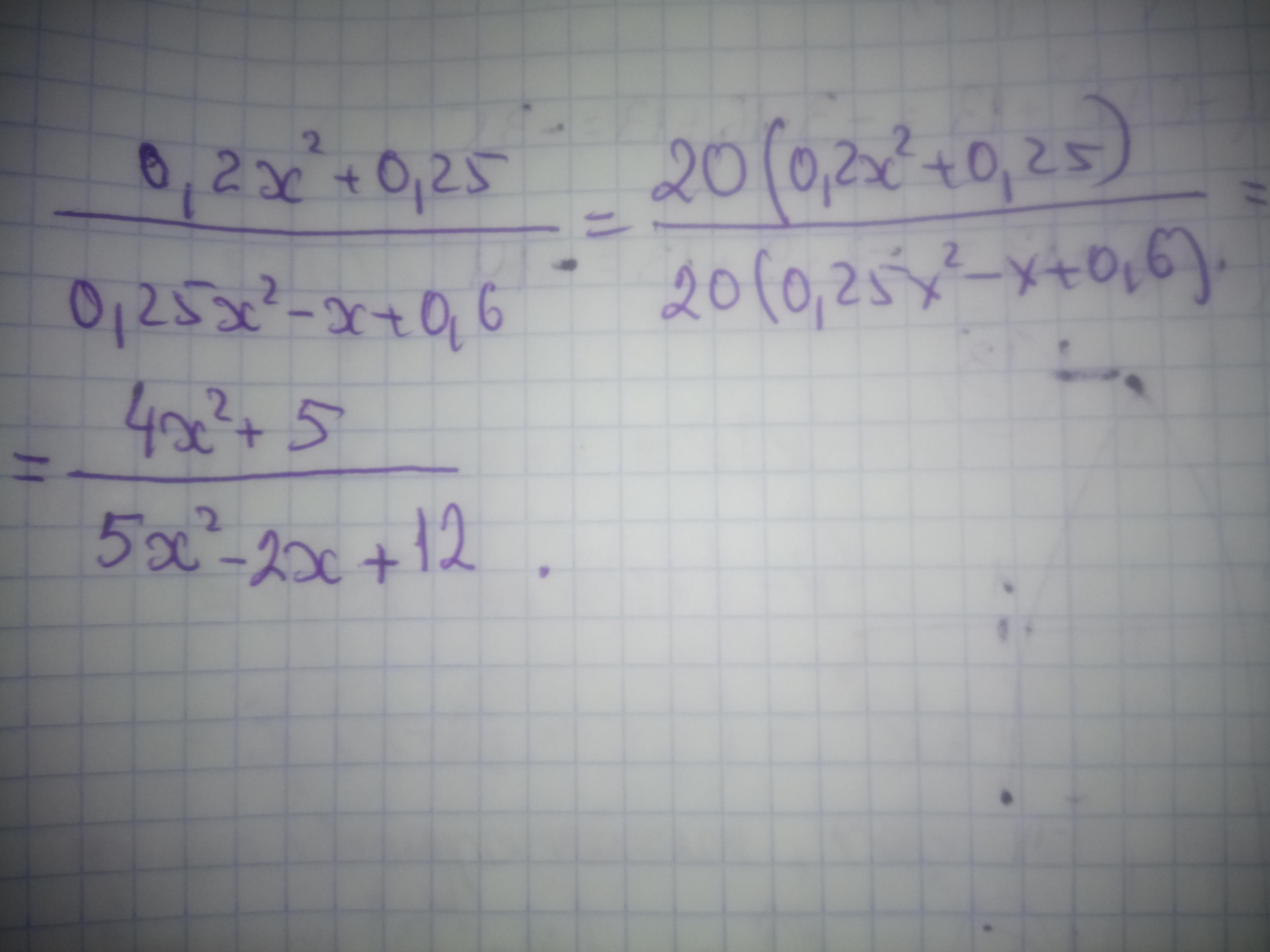
замените дробь 0,2х²+0,25/0,25х²-х+0,6 тождественно равной ей дробью, числитель и знаменатель которой являются многочлены с целыми коэффицентами
Ответы
Ответ дал:
4
Решение задания приложено
Приложения:

Вас заинтересует
2 года назад
2 года назад
3 года назад
3 года назад
8 лет назад