• Предмет: Алгебра
  • Автор: kamilatrah
  • Вопрос задан 2 года назад

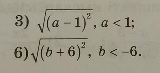
помогите пожалуйста решить пример​

Приложения:

Ответы

Ответ дал: LFP
0

Ответ:

3) ...= |a-1| = -(а-1) = 1-a (для a-1<1-1)

6) ...= |b+6| = -(b+6) = -b-6 (для b+6<-6+6)

формула: \sqrt{x^{2} } =|x|

определение модуля: |x|=\left \{ {{x;x\geq0 } \atop {-x;x&lt;0}} \right.

Вас заинтересует