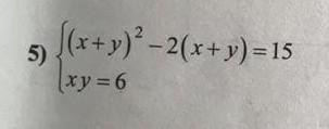
решите систему используя метод введения новых переменных
обязательно
спасибо заранее
Приложения:

Ответы
Ответ дал:
0
Ответ: Вроде так
Объяснение:
y=6/3; y=2
Приложения:

Вас заинтересует
1 год назад
1 год назад
2 года назад
2 года назад
3 года назад
3 года назад
8 лет назад