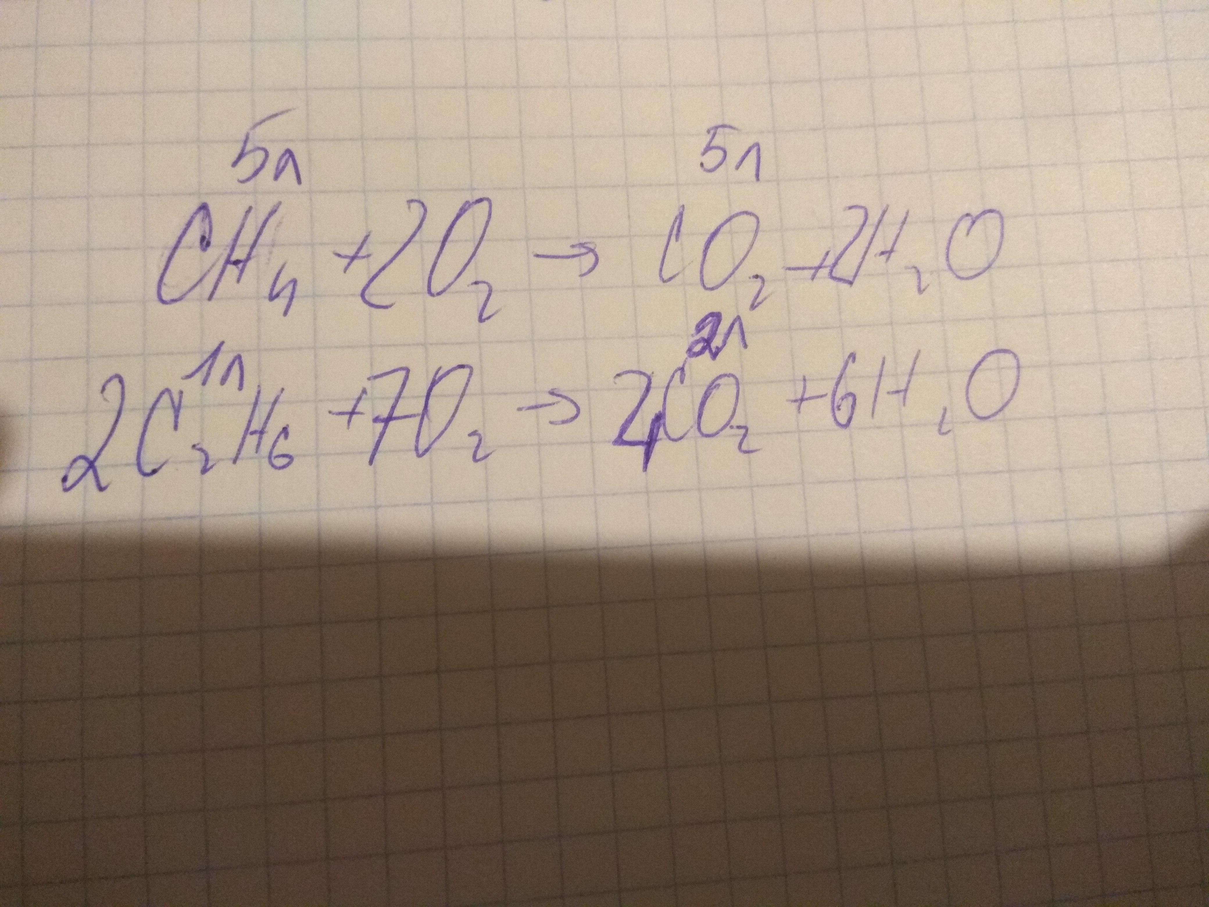
Сожгли смесь состоящию из 5 литров метана и 1 литр этана какой объём оксида углерода 4 при этом какой объём кислорода потребуется
Ответы
Ответ дал:
0
Ответ: 7л
Объяснение:
Из закона Авогадро следует, что при одинаковых коэффициентах в реакции, у газов будет одинаковый объем. Если, например, коэффициент в 2 раза больше, то и объем в 2 раза больше. Итого:7л
Приложения:

Вас заинтересует
1 год назад
1 год назад
2 года назад
2 года назад
3 года назад
3 года назад